使用 TextRank 算法为文本生成关键字和摘要
TextRank算法基于PageRank,用于为文本生成关键字和摘要。其论文是:
Mihalcea R, Tarau P. TextRank: Bringing order into texts[C]. Association for Computational Linguistics, 2004.
先从PageRank讲起
PageRank最开始用来计算网页的重要性。整个www可以看作一张有向图图,节点是网页。如果网页A存在到网页B的链接,那么有一条从网页A指向网页B的有向边。
构造完图后,使用下面的公式:

[latex]S(V_{i})[/latex]是网页i的中重要性(PR值)。d是阻尼系数,一般设置为0.85。[latex]In(V_{i})[/latex]是存在指向网页i的链接的网页集合。[latex]Out(V_{j})[/latex]是网页j中的链接存在的链接指向的网页的集合。[latex]|Out(V_{j})|[/latex]是集合中元素的个数。
PageRank需要使用上面的公式多次迭代才能得到结果。初始时,可以设置每个网页的重要性为1。上面公式等号左边计算的结果是迭代后网页i的PR值,等号右边用到的PR值全是迭代前的。
举个例子:

上图表示了三张网页之间的链接关系,直觉上网页A最重要。可以得到下面的表:
| 结束\起始 | A | B | C |
|---|---|---|---|
| A | 0 | 1 | 1 |
| B | 0 | 0 | 0 |
| C | 0 | 0 | 0 |
横栏代表其实的节点,纵栏代表结束的节点。若两个节点间有链接关系,对应的值为1。
根据公式,需要将每一竖栏归一化(每个元素/元素之和),归一化的结果是:
| 结束\起始 | A | B | C |
|---|---|---|---|
| A | 0 | 1 | 1 |
| B | 0 | 0 | 0 |
| C | 0 | 0 | 0 |
上面的结果构成矩阵M。我们用matlab迭代100次看看最后每个网页的重要性:
M = [0 1 1
0 0 0
0 0 0];
PR = [1; 1 ; 1];
for iter = 1:100
PR = 0.15 + 0.85*M*PR;
disp(iter);
disp(PR);
end运行结果(省略部分):
......
95
0.4050
0.1500
0.1500
96
0.4050
0.1500
0.1500
97
0.4050
0.1500
0.1500
98
0.4050
0.1500
0.1500
99
0.4050
0.1500
0.1500
100
0.4050
0.1500
0.1500最终A的PR值为0.4050,B和C的PR值为0.1500。
如果把上面的有向边看作无向的(其实就是双向的),那么:
M = [0 1 1
0.5 0 0
0.5 0 0];
PR = [1; 1 ; 1];
for iter = 1:100
PR = 0.15 + 0.85*M*PR;
disp(iter);
disp(PR);
end运行结果(省略部分):
.....
98
1.4595
0.7703
0.7703
99
1.4595
0.7703
0.7703
100
1.4595
0.7703
0.7703依然能判断出A、B、C的重要性。
使用TextRank提取关键字
将原文本拆分为句子,在每个句子中过滤掉停用词(可选),并只保留指定词性的单词(可选)。由此可以得到句子的集合和单词的集合。
每个单词作为pagerank中的一个节点。设定窗口大小为[latex]k[/latex],假设一个句子依次由下面的单词组成:
[latex]w_{1}, w_{2}, w_{3}, w_{4}, w_{5}, ..., w_{n}[/latex]
[[latex]w_{1}, w_{2}, ..., w_{k}[/latex]]、[[latex]w_{2}, w_{3}, ...,w_{k+1}[/latex]]、[[latex]w_{3}, w_{4}, ...,w_{k+2}[/latex]]等都是一个窗口。在一个窗口中的任两个单词对应的节点之间存在一个无向无权的边。
基于上面构成图,可以计算出每个单词节点的重要性。最重要的若干单词可以作为关键词。
使用TextRank提取关键短语
参照“使用TextRank提取关键词”提取出若干关键词。若原文本中存在若干个关键词相邻的情况,那么这些关键词可以构成一个关键短语。
例如,在一篇介绍“支持向量机”的文章中,可以找到三个关键词支持、向量、机,通过关键短语提取,可以得到支持向量机。 使用TextRank提取摘要
将每个句子看成图中的一个节点,若两个句子之间有相似性,认为对应的两个节点之间有一个无向有权边,权值是相似度。
通过pagerank算法计算得到的重要性最高的若干句子可以当作摘要。
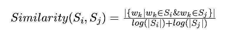
论文中使用下面的公式计算两个句子Si和Sj的相似度:

分子是在两个句子中都出现的单词的数量。|Si|是句子i的单词数。
由于是有权图,PageRank公式略做修改:

实现TextRank
因为要用测试多种情况,所以自己实现了一个基于Python 2.7的TextRank针对中文文本的库TextRank4ZH。位于:
https://github.com/letiantian/TextRank4ZH
下面是一个例子:
# -*- encoding:utf-8 -*-
import codecs
from textrank4zh import TextRank4Keyword, TextRank4Sentence
text = codecs.open('./text/01.txt', 'r', 'utf-8').read()
tr4w = TextRank4Keyword(stop_words_file='./stopword.data') # 导入停止词
# 使用词性过滤,文本小写,窗口为2
tr4w.train(text=text, speech_tag_filter=True, lower=True, window=2)
print '关键词:'
# 20个关键词且每个的长度最小为1
print '/'.join(tr4w.get_keywords(20, word_min_len=1))
print '关键短语:'
# 20个关键词去构造短语,短语在原文本中出现次数最少为2
print '/'.join(tr4w.get_keyphrases(keywords_num=20, min_occur_num= 2))
tr4s = TextRank4Sentence(stop_words_file='./stopword.data')
# 使用词性过滤,文本小写,使用words_all_filters生成句子之间的相似性
tr4s.train(text=text, speech_tag_filter=True, lower=True, source = 'all_filters')
print '摘要:'
print '\n'.join(tr4s.get_key_sentences(num=3)) # 重要性最高的三个句子运行结果如下:
关键词:
媒体/高圆圆/微/宾客/赵又廷/答谢/谢娜/现身/记者/新人/北京/博/展示/捧场/礼物/张杰/当晚/戴/酒店/外套
关键短语:
微博
摘要:
中新网北京12月1日电(记者 张曦) 30日晚,高圆圆和赵又廷在京举行答谢宴,诸多明星现身捧场,其中包括张杰(微博)、谢娜(微博)夫妇、何炅(微博)、蔡康永(微博)、徐克、张凯丽、黄轩(微博)等
高圆圆身穿粉色外套,看到大批记者在场露出娇羞神色,赵又廷则戴着鸭舌帽,十分淡定,两人快步走进电梯,未接受媒体采访
记者了解到,出席高圆圆、赵又廷答谢宴的宾客近百人,其中不少都是女方的高中同学另外, jieba分词提供的基于TextRank的关键词提取工具。 snownlp也实现了关键词提取和摘要生成。
下载: